一则家用电梯噪声投诉案例的原因分析与整改方案
本文刊登于《中国电梯》杂志2024年第5期
作者:贾国东,刘文超,钱有根,余忠东 / 西子电梯科技有限公司
在某家用电梯安装完成后,该家用电梯业主的隔壁业主投诉称,该家用电梯在运行中产生了噪声,对其卧室造成了较大影响。笔者与隔壁业主沟通了其对噪声可接受的程度,了解了家用电梯业主及隔壁业主房间的建筑结构,查阅了噪声标准,先后制定了两次整改方案,经过两次整改施工,最终解决了电梯噪声问题。在本文中,笔者对该噪声案例的解决过程进行回顾,希望为同行解决类似问题提供借鉴。
经笔者观察,家用电梯的驱动主机承重梁固定在公共墙上,隔壁业主卧室与之紧邻。电梯运行时,隔壁业主能清晰地听到传导过来的“嗡嗡”声,影响其休息。在该卧室测量电梯的运行噪声,通常在36~38dB(A)之间波动,但有偶发的噪声为39dB(A)。这满足GB/T 10058—2023《电梯技术条件》第4.3.6条的规定,即:机房内的噪声≤80dB(A),无机房电梯距离驱动主机安装位置最近楼层处的噪声≤65dB(A)。隔壁业主不认可,提出其依据是GB 50096—2011《住宅设计规范》第6.4.7条,即:电梯不应紧邻卧室布置。当受条件限制,电梯不得不紧邻兼起居的卧室布置时,应采取隔声、减振的构造措施。
笔者收集到关于卧室噪声规定的两项标准,具体要求如下。
1) GB 50096—2011第7.3.1条“卧室、起居室(厅)内噪声级”规定:①昼间卧室的等效连续A声级不应大于45dB;②夜间卧室内的连续A声级不应大于37dB;③起居室(厅)的等效连续A声级不应大于45dB。
2) GB 22337—2008《社会生活环境噪声排放标准》第4.2.1条规定:在社会生活噪声排放源位于噪声敏感建筑物内的情况下,噪声通过建筑物结构传播至噪声敏感建筑物室内时,噪声敏感建筑物室内等效声级不得超过表2和表3〔标准中的表2(本文中的表1)、表3(本文未列出)〕规定的限值。第4.2.2条规定:对于在噪声测量期间发生非稳态噪声(如电梯噪声等)的情况,最大声级超过限值的幅度不得高于10dB(A)。
对比GB 50096—2011和GB 22337—2008,前者对卧室的噪声值要求相对严格,即晚间噪声不大于37dB(A),但未将电梯噪声作为非稳态噪声区分出来;后者将电梯噪声按非稳态噪声考虑,允许有10dB(A)的波动,因此最大允许值是40dB(A)。
笔者经与电梯业主和隔壁业主沟通,达成了初步整改方案:1)驱动主机移位。将驱动主机从对重侧转移到轿厢的上方,增加离墙水平距离,使其超过1m。2)将承重梁与墙体的联接方式由刚性调整为柔性,通过橡胶变形吸收振动能量,衰减振动强度,从而降低噪声;3)在驱动主机底座贴阻尼片,吸收部分振动能量。在初步整改方案中,最主要的部分是增加减振。下面笔者对具体的减振降噪效果进行探讨。
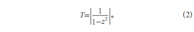
减振效果用振动传递系数T(传递系数越小,减振效果越好)来衡量,T为减振后的振动幅值与减振前的振动幅值之比。带阻尼减振系统的振动传递系数
ξ —阻尼比,ξ=δ/δ0(δ为系统阻尼系数,δ0为临界阻尼系数)。
无阻尼减振系统(当阻尼系数为0)为完全弹性系统,振动传递系数
对于无阻尼减振系统,例如钢弹簧,固有频率
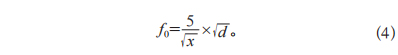
对于带阻尼减振系统,例如橡胶弹簧,固有频率
式中:d —动态系数,该数值需经实验取得,《机械设计手册.第4卷》第18-81节中的表18-5-5给出了经验计算方法[1]。
根据式(1),绘制出振动传递系数T和频率比z的曲线图。其中共包含了6种阻尼比(ξ分别为0、0.05、0.10、0.20、0.50、1.00),如图1所示。图2是图1中T≤1时的局部放大。图1中的6条曲线在T≤1时出现粘连,容易误认为z的增大对传递系数影响极小。实际上,T=0.01时的效果是T=0.1时的10倍。
没有减振垫的承重梁,系统固有频率f0可以近似认为无穷大,z≈0,此时T≈1,即传递效率约等于100%。当z≈1时,振动的振幅急剧加大,隔振系统不但不起减小振动的作用反而放大了振动,甚至产生了共振;当z =√2时,T=1,振动大小保持不变。随着z增大,T下降到1以下,才真正起到了减振的作用。因此,z越大,减振效果越好。考虑成本因素及系统稳定性,z取2.5~5比较合理。
为了使振动传递系数和降噪效果建立联系,需对噪声分贝的定义进行具体说明。分贝是声学计量中级的概念,符号为dB,在声源处用声功率级LW表示,即:
w0 —基准声功率,w0=10-12W。
当w=w0时,可得LW=0dB。LW=10dB时w=10-11W,LW=20dB时w=10-10W。由此可知噪声10dB的增加对应于w增加至10倍,噪声20dB的增加对应于w增加至100倍。在现场测量时需注明距离声源的距离。声功率是针对声源而言,不随距离的变化而变化,而评价噪声接受者的实际感受时采用的是声压级分贝Lp,即:
式中:p —测量处的声压;
p0 —基准声压,p0=2×10-5Pa。
当p=p0时,可得Lp=0dB,代表的是人刚刚能听到声音。测量Lp时需注明测量的位置。
GB 50096—2011和GB 22337—2008规定的分贝即为声压级,并且是经过A计权的dB,符号为dB(A)。之所以采用计权特性测得的分贝读数,是由于人耳对不同频率的声音敏感程度不同,针对人耳分辨声音的特点进行了修正,这样得出的dB(A)值更容易贴近人耳的感受。
激励频率主要由驱动主机和变频器配合产生的振动以及转动部件偏载的振动构成,是一个很丰富的频率组合。例如电动机的扰动频率有:1)轴的转速(单位转换为r/s);2)轴的转速×极对数;3)轴的转速×轴承滚珠数/2(轴转2圈,轴承滚珠转1圈)。其余因素仍有很多,需要进一步探索。
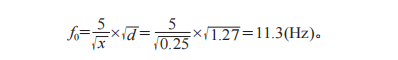
橡胶弹簧具有一定的阻尼特性,可以减小在特定转速下某个频率的共振,因此笔者选取天然橡胶垫作为减振材料。橡胶垫的振动传递系数T根据式(1)计算。其中,橡胶垫的厚度为5cm;由于电梯的载荷是变化的,因此按交变应力来考虑,满载变形量按5%以内考虑(静载荷时按小于15%)。于是可得橡胶垫最大的压缩量x=5×5%=0.25(cm)。天然橡胶的动态系数d=1.2~1.6,邵氏硬度H=40~70,H=40对应d=1.2,H=70对应d=1.6,中间用插值法确定。初步整改方案选取的橡胶垫H=45(硬度可以根据设计需要调整制作),得d=1.27。系统满载时固有频率
天然橡胶的阻尼比ξ =0.025~0.075,对应的邵氏硬度H=40~70。当H值小时取下限,H值大时取上限[1]。初步整改方案中橡胶垫H=45,根据插入法计算,可得ξ=0.033。由于振动的频率非常丰富,且较难确定哪几种频率的振动主要影响噪声,因此作模糊处理。
下面以固有频率f0=11.3Hz,频率比z分别为1.5、2、2.5、4,对应的激励频率f为17 Hz、22.5 Hz、28 Hz、45 Hz为例,对振动传递系数进行计算。将z代入式(1),得出振动传递系数T=0.80、0.34、0.19、0.07。因振动强度的降低幅度与声功率的降低幅度有一定关系,此处假定特定频率振动幅值的减小与对应声功率的降低幅度关系为线性(因线性关系只是假定,计算结果仅为参考),用式(5)对T的倒数取对数并乘以10,可算出下降的Lw,分别为1.0dB、4.7dB、7.1dB和11.6dB。计算结果表明减振降噪效果已很明显,因此此方案可行。
笔者按照上述方案对家用电梯进行了整改,并在隔壁业主卧室进行了噪声测试,电梯运行时噪声在31~35dB(A)之间。对比首次测试结果有明显的改善,并且完全符合住宅噪声标准的要求。
对于初次整改的实施效果,隔壁业主表示在卧室仍然可以听到“嗡嗡”声,对生活有影响,不能接受。笔者通过和建筑设计单位沟通,提出了二次整改方案。
1)从地面开始加设钢结构,中间与楼梯固定,以增强稳定性。钢结构与公共墙的距离留出30mm,避免与公共墙直接接触。
2)电梯承重梁通过减振橡胶垫支撑在钢结构上,完全与墙体隔开,导轨支架固定在钢结构上。
3)在公共墙上贴吸声棉,吸声棉采用2cm厚的太空灰橡塑芯,并用塑料膨胀钉、胶水固定。
再次整改完成后,即使在隔壁业主的卧室侧耳细听也几乎听不到电梯运行声,减振效果十分明显。整改结果也证明了电梯的低频噪声是系统通过固体传播,最后由空气传导入人耳。在振动体(主要是承重梁)与承重墙分离后,只通过空气传播的能量不足以使墙体产生振动传递噪声,并且吸声棉吸收了大部分通过空气传播的振动能量。
隔壁业主对二次整改效果表示非常满意,至此噪声投诉整改完成。
回顾该案例的整改过程,工作量大,花费多且时间长。可见,电梯在安装后或使用中出现的问题处理成本很高,如果能把问题放到合同处理的前端解决,成本会低很多,也就是说,避免问题的产生和在问题产生的初期解决才是最经济的。笔者建议电梯企业在销售及合同处理阶段应注意以下几点,以避免出现与本案例类似的麻烦。
1)电梯的安装应远离卧室及其他噪声敏感的功能区间。
2)如因建筑结构原因,造成电梯传导噪声的问题不可避免,在销售前应与客户沟通,寻找好解决方案,并将沟通结果及方案交客户签字后存档。
3)如在噪声敏感区间安装电梯,应选择低噪声的配置及减振降噪的措施。
4)处理噪声现场问题时,注意减振、吸声和隔声等措施的组合应用。
来源:《中国电梯》杂志
